CÁC PHƯƠNG PHÁP BỐ TRÍ CÔNG TRÌNH BẰNG MÁY KINH VĨ
Các điểm đặc trưng của công trình có thể được bố trí theo các phương pháp sau:
1. Phương pháp tọa độ
a. Phương pháp tọa độ cực
-Phương pháp này được áp dụng phổ biến, nhất là những chỗ quang đãng, tương đối bằng phẳng và khi khoảng cách cực (S) ngắn hơn chiều dài của thước.
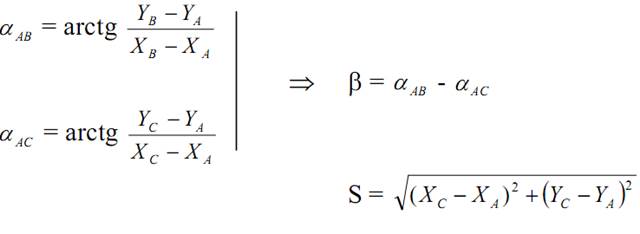
-Biết tọa độ khống chế trắc địa A(XA,YA); B(XB, YB) và tọa độ thiết kế điểm C(XC,YC) (hình 8-4).

-Trước hết phải tính những số liệu cần thiết cho bố trí là góc cực β và bán kính cực S.

-Cách bố trí: Đặt máy kinh vĩ tại A. Định tâm, cân bằng, định hướng theo AB, mở 1 góc bằng β theo hướng cần bố trí. Trên hướng này dùng thước thép đo 1 đoạn thẳng S cố định được điểm C.
-Độ chính xác bố trí C theo phương pháp toạ độ cực (Sai số bố trí điểm):

b. Phương pháp toạ độ vuông góc
-Phương pháp này thường được ứng dụng khi trên khu vực đã thànhlập lưới ô vuông xây dựng
-Phương pháp này được áp dụng nhiều hơn cả trong khi bố trí các công trình công nghiệp và dân dụng. Từ các điểm khống chế của lưới ô vuông xây dựng (mạng lưới thi công) hay từ đường đo trên phố. Muốn vậy phải tính số gia toạ độ giữa các điểm đặc trưng của công trình với các đỉnh của lưới ô vuông ΔX, ΔY (hình 5-6).
-Cách bố trí : Phải luôn nhớ là đặt đoạn thẳng có gia số toạ độ lớn hơn dọc theo cạnh trục toạ độ của lưới ô vuông, còn số gia toạ độ nhỏ hơn được chiếu theo hướng vuông góc với nó.
-Giả sử ΔY > ΔX đặt máy kinh vĩ tại A. Định tâm, cân bằng, định hướng về B trên hướng này đặt một đoạn AM = ΔY.
-Chuyển máy kinh vĩ đến M. Định tâm, cân bằng, định hướng về A (hoặc B) mở một góc 900. Trên hướng này đo một đoạn MN = ΔX ta có điểm N.

2. Phương pháp giao hội
-Chuyển máy kinh vĩ đến M. Định tâm, cân bằng, định hướng về A (hoặc B) mở một góc 900. Trên hướng này đo một đoạn MN = ΔX ta có điểm N.
a. Phương pháp giao hội góc
-Phương pháp này thường được áp dụng để bố trí trụ cầu, công trình thuỷ lợi… khi mà điểm cần bố trí ở xa điểm khống chế trắc địa và việc đo dài gặp khó khăn.
-Nội dung: Biết toạ độ khống chế trắc địa A (XA, YA) ; B (XB, YB) toạ độ điểm thiết kế là C (XC, YC) (hình 8-7)
-Tính toán: Tính những số liệu cần thiết cho bố trí là các góc bằng βA, βB.

Cách bố trí: Đặt 2 máy kinh vĩ ở A và B định tâm, cân bằng, định hướng theo cạnh khống chế AB. Tương ứng đặt các góc βA, βB. Giao điểm 2 hướng ngắm trên là điểm C cần tìm.
Độ chính xác của điểm C:

-Để nâng cao độ chính xác của phương pháp có thể dùng máy kinh vĩ đo lại cả 3 góc trong tam giác điều chỉnh sai số khép tam giác cho 3 góc trong tam giác.Tính tọa độ điểm C và so sánh với tọa độ thiết kế của nó được độ lệch Δx, Δy từ đó có thể chuyển dịch điểm C về vị trí chính xác. Khi đó phương pháp này gọi là phương pháp tam giác khép kín.
b. Phương pháp giao hội cạnh
-Phương pháp này thường được áp dụng khi điểm cần bố trí nằm gần điểm khống chế trắc địa, bán kính giao hội ngắn hơn chiều dài thước, địa hình bằng phẳng, quang đãng.
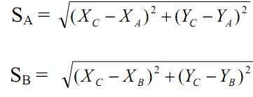
-Nội dung: Biết toạ độ khống chế trắc địa A (XA, YA); B (XB, YB) toạ độ điểm thiết kế C (XC, YC) (hình 8-8)
-Tính toán: Tính những số liệu cần thiết cho bố trí là các bán kính giao hội SA, SB.

- Cách bố trí:
Dùng 2 thước thép đặt đầu “0” tại A và B, lấy A và B làm tâm theo thước thép quay các cung bán kính tương ứng là SA và SB chúng giao nhau tại C đó là điểm cần bố trí.
Độ chính xác xác định điểm C:

-Ta thấy độ chính xác của bố trí điểm C bằng phương pháp giao hội cạnh cao nhất khi góc C gần bằng 90º và thấp nhất khi góc giao hội tiến tới 0º hoặc 180º.
c. Phương pháp giao hội hướng chuẩn
Trong phướng này vị trí điểm cần bố trí là giao điểm của hai hướng chuẩn.Hướng chuẩn đực thành lập bằng máy kinh vĩ đặt tại gốc A hướng tới tiêu ngắm đặt tại A’ và đặt tại B hướng tới B’. Hai hướng này sẽ cắt nhau tại điểm C cần bố trí.
Phướng này áp dụng phổ biến trong công trình xây dựng dân dụng và công nghiệp khi phần lớn các trục thường giao nhau dưới 1 góc vuông.
Nếu bỏ qua ảnh hưởng của sai số liệu gốc thì độ chính xác của phướng pháp giao hội hướng chuẩn phụ thuộc vào độ chính xác dựng hướng chuẩn thứ nhất mhc1 và thứ 2 mhc2, độ chính xác đánh dấu điểm cần bố trí điểm trên thực địa mdd
mc =√(mhc1+ m hc2 + mdd)
-Sai số chủ yếu khi dựng hướng chuẩn là sai số định tâm cân máy mđm, sai số đặt tiêu ngắm mđt và sai số ngắm mng. Nếu nguồn sai số độc lập với nhau ta có:
mhc= mđt + mđm + mng
Như vậy, sai số trung phương bố trí điểm C bằng phướng pháp hướng chuẩn là:
mc = √(2mđt + 2mđm +2mng +2m dd)
d. Giao hội phía sau:
-Trong thực tế khi đã biết vị trí sơ bộ của điểm cần bố trí và có thể đặt được máy thì người ta dùng phương pháp giao hội phía sau để bố trí điểm (hình X-5).
-Muốn bố trí được nhanh thì trước hết phải tìm vị trí sơ bộ C' của điểm C để đặt máy. Sau đó, chọn 3 điểm khống chế đã biết A, B, D để xác định trắc địa điểm C. Cũng cần lưu ý rằng không nên để C' rơi vào vòng tròn nguy hiểm của các điểm A, B, D. Từ trắc địa điểm C đã biết trong thiết kế và trắc địa điểm C' vứa tính được có thể tính số gia trắc địa như sau:

Dựa vào trị số tính được của Δx, Δy đưa vị trí điểm C' dời về điểm
e. Giao hội đường trục
-Trong trường điểm định bố trí C nằm trên đường AB (hình X-6) đã bố trí sẵn trên thực địa, đồng thời tại C có thể đặt được máy kinh vĩ đo góc, thì có thể dùng phương pháp giao hội theo đường trục (gọi tắt là giao hội đường trục) dể bố trí điểm.
-Muốn vậy, trước hết đặt máy gần nơi điểm bố trí rồi dùng phương pháp nhích dần về để đưa máy vào đường trục AB, ví dụ tại điểm C'. Sau đó tìm một điểm khống chế D ngoài đường trục. Đo góc BC'D=γ.
-Trắc địa điểm C' được tính theo công thức:
Trong đó: 
-Sau khi được trắc địa điểm C' có thể so sánh với trắc địa điểm C định bố trí: Δx = xC - x'C ;
Δx dùng để đưa điểm C' về vị trí chính xác của điểm C.
-----------------------------------------------
* Trắc địa Hoàng Minh là công ty uy tín chuyên nhập khẩu và phân phối các loại máy kinh vĩ quang cơ, máy kinh vĩ điện tử chính hãng như: Sokkia, Nikon, Pentax, Geomax, Topcon, South, Leica,...
* Trắc địa Hoàng Minh tự hào là địa chỉ tin cậy của khách hàng!
* Truy cập website tracdiahoangminh.com để tham khảo thêm nhiều dòng sản phẩm khác.





0942441166
Viết bình luận